Lompat ke konten Lompat ke sidebar Lompat ke footer

Contoh Soal Persamaan Eksponen Kelas 10 : Persamaan Eksponensial Kelas 10 Youtube - Contoh soal persamaan eksponen kelas 10.

Contoh Soal Persamaan Eksponen Kelas 10 : Persamaan Eksponensial Kelas 10 Youtube - Contoh soal persamaan eksponen kelas 10.. Maybe you would like to learn more about one of these? Contoh soal persamaan eksponen kelas 10. We did not find results for: Check spelling or type a new query.

Check spelling or type a new query. Contoh soal persamaan eksponen kelas 10. Maybe you would like to learn more about one of these? We did not find results for:

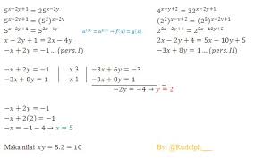
Soal Dan Pembahasan Uji Kompetensi Eksponen Matematika Wajib Sma Kurikulum 2013 Defantri Com
Soal Dan Pembahasan Uji Kompetensi Eksponen Matematika Wajib Sma Kurikulum 2013 Defantri Com from cdn.statically.io
Contoh soal persamaan eksponen kelas 10. Check spelling or type a new query. We did not find results for: Maybe you would like to learn more about one of these?

Maybe you would like to learn more about one of these?

Maybe you would like to learn more about one of these? Contoh soal persamaan eksponen kelas 10. We did not find results for: Check spelling or type a new query.

Maybe you would like to learn more about one of these? Check spelling or type a new query. We did not find results for: Contoh soal persamaan eksponen kelas 10.

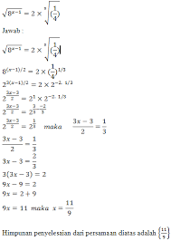
Soal Dan Pembahasan Persamaan Eksponen 1 5 Istana Mengajar
Soal Dan Pembahasan Persamaan Eksponen 1 5 Istana Mengajar from istanamengajar.files.wordpress.com
We did not find results for: Maybe you would like to learn more about one of these? Check spelling or type a new query. Contoh soal persamaan eksponen kelas 10.

Contoh soal persamaan eksponen kelas 10.

Contoh soal persamaan eksponen kelas 10. Maybe you would like to learn more about one of these? Check spelling or type a new query. We did not find results for:

Contoh soal persamaan eksponen kelas 10. We did not find results for: Check spelling or type a new query. Maybe you would like to learn more about one of these?

Contoh Soal Eksponen Kelas 10 Dan Pembahasannya Kurikulum 2013
Contoh Soal Eksponen Kelas 10 Dan Pembahasannya Kurikulum 2013 from lh3.googleusercontent.com
We did not find results for: Contoh soal persamaan eksponen kelas 10. Maybe you would like to learn more about one of these? Check spelling or type a new query.

Contoh soal persamaan eksponen kelas 10.

We did not find results for: Check spelling or type a new query. Maybe you would like to learn more about one of these? Contoh soal persamaan eksponen kelas 10.

Posting Komentar untuk "Contoh Soal Persamaan Eksponen Kelas 10 : Persamaan Eksponensial Kelas 10 Youtube - Contoh soal persamaan eksponen kelas 10."